最近网上可是炸开了锅呢!一位新晋女网红突然爆料了一则新闻视频,瞬间引发了无数网友的热议。这可真是让人意想不到,让我们一起来看看吧...
亲爱的读者们,你是否也像我一样,对《奇异博士》这部电影充满了好奇和期待?最近,网络上突然爆出了关于《奇异博士》的爆料视频大全,简...
你有没有听说最近小新娱乐的爆料视频超级火啊?没错,就是那个让大家笑到肚子疼的搞笑视频!你是不是也好奇这些视频在哪里可以看呢?别急...
最近娱乐圈可是热闹非凡呢!这不,著名狗仔卓伟又爆出了一个大料,这次的对象可是当红小花旦迪丽热巴哦!下面,就让我带你一起深入了解一...
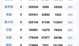
最近新冠病毒的新闻可是让人心头一紧啊!这不,刚刚又有最新的数据爆出来了,咱们一起来聊聊这个话题吧!新冠病毒最新数据曝光你知道吗,...
娱乐圈爆料:揭秘整容女团之谜近年来,娱乐圈的整容风潮愈演愈烈,不少女明星为了追求完美,不惜动刀子。近日,一则关于“整容女团”的爆...
最近娱乐圈可是热闹非凡呢!宋丹丹和杨紫这对“母女档”再次成为焦点,她们的新爆料可是让粉丝们兴奋不已。今天,就让我带你一起深入了解...
最近网上可是炸开了锅,丰原万业的一则爆料视频成了大家茶余饭后的热门话题。这不,我就迫不及待地来给你揭秘这背后的故事,让你一探究竟...
动漫迷们,是不是又到了你我最期待的时光?没错,今天我要和你聊聊最新动漫视频在线观看的那些事儿。随着互联网的飞速发展,我们再也不用...
揭秘蔡徐坤:吃瓜群众眼中的娱乐八卦与图片狂欢亲爱的读者们,今天我要带你们走进一个充满话题和争议的世界——蔡徐坤的吃瓜娱乐八卦与图...